成人做爰黄A片免费视频网站野外,成人免费看片APP下载,成人做爰A片免费看黄冈白狐影院,成人做爰黄级A片免费看土方,成人做爰A片AAA毛真人,成人做爰A片免费看网站性晶

技術熱線: 4007-888-234

分壓電路的計算方式與應用場景

更新時間: 2022-03-30
閱讀量:23125

所謂的分壓電路指的是兩個電阻器之間分壓電壓的電路,我們經常在一些簡單和高級電路中看到它。在本文中,英銳恩單片機工程師將介紹它的工作原理和計算方式。

一、分壓電路計算公式

分壓電路是什么樣的呢?如下圖所示,當你像這樣連接兩個電阻時,我們通過計算就能得出兩邊的輸出電壓:

Voltage-divider-1 (1).png

計算輸出電壓的公式為:
20220330110922.jpg
二、在哪里找到分壓電路?

分壓電路的一個典型案例是用于模擬傳感器。例如,熱敏電阻是溫度傳感器。它會根據溫度改變其電阻。如果將其與分壓電路中的已知電阻值連接,我們就能獲得取決于溫度的電壓:

Voltage-divider-thermistor.png

或者,可以將已知電阻器與光敏電阻器結合使用。光敏電阻根據其檢測到的光量改變電阻。這樣,就有了一個根據光增加或減少電壓的電路。

Voltage-divider-photoresistor.png

我們可以將任何這些電路的輸出連接到比較器中,以檢查它是否高于或低于某個電壓。然后在此基礎上做一些事情。例如,如果溫度高于40度,打開風扇。


(1)計算示例:不同的電阻值

假設我們有以下值:
20220330111112.jpg
通過使用上面的公式,我們得到:
20220330111141.jpg
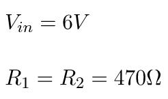
(2)計算示例:相等的電阻值

現在,假設R1和R2具有相同的值。
20220330111217.jpg
通過使用上面的公式,我們得到:
20220330111241.jpg
這意味著當兩個電阻具有相同的值時,輸出總是輸入的一半。

三、可以使用分壓電路作為電源嗎?

比如有人想問,如果有一個需要4.5V的電路,能否使用帶有兩個500Ω電阻的分壓電路從9V電池中獲得4.5V電壓?

不幸的是,這并不容易。

因為,想要供電的任何電路都具有內部電阻。因此,從分壓器的角度來看,連接到電壓輸出的任何電路都可以看作是與R2并聯的電阻器(R LOAD )。

Voltage-divider-load-1.png

如果電路的內阻 (R LOAD )也是500Ω,會發生什么情況?

現在,分壓器公式中的R2變為R2和R LOAD的并聯電阻。這只是250Ω。如果將其放入分壓電路公式中,將得到3V的輸出電壓,而不是你想要的4.5V。

對于電源,無論連接的電路具有高內阻還是低內阻,都希望電壓保持在所選水平。這就是為什么分壓電路不常用于電源的原因。

如果你真想用,使用穩壓器會更好。

以上就是英銳恩單片機開發工程師分享的“分壓電路的計算方式與應用場景”。英銳恩專注單片機應用方案設計與開發,提供8位單片機、16位單片機、32位單片機。

欢迎光临: 尼勒克县| 柳州市| 哈尔滨市| 将乐县| 新宁县| 高邑县| 城固县| 北票市| 左贡县| 罗源县| 黔西县| 安徽省| 水富县| 莱阳市| 邢台县| 连城县| 会泽县| 宜兰县| 平陆县| 奉化市| 镇远县| 宁津县| 鄂州市| 潼关县| 循化| 安国市| 拜泉县| 监利县| 云阳县| 临桂县| 宜宾县| 孟津县| 漾濞| 玛曲县| 高雄市| 百色市| 铜山县| 海阳市| 三穗县| 通城县| 上栗县|