成人做爰黄A片免费视频网站野外,成人免费看片APP下载,成人做爰A片免费看黄冈白狐影院,成人做爰黄级A片免费看土方,成人做爰A片AAA毛真人,成人做爰A片免费看网站性晶

技術熱線: 4007-888-234

電子產品開發:開關電容器電路

更新時間: 2021-05-26
閱讀量:3710

在本文中,英銳恩將分享模擬IC設計的基本構建基塊之一,開關電容器電路。在IC級別實現模擬信號處理的最常用方法之一是開關電容器電路。這項技術的廣泛應用于過濾器、交流或直流轉換器、比較器、通訊設備等。

本文將介紹電子產品開發,開關電容器電路領域,從寬泛的概述開始,然后深入介紹基本電路塊:開關蓋電阻器。

什么是開關電容器電路?

開關電容器電路是一種離散時間電路,利用電荷傳輸進出由開關控制的電容器。切換活動通常由定義明確、非重疊的時鐘控制,因此進出電荷傳輸定義明確且具有決定性。

具有非重疊時鐘的開關電容器電路

這些電路可被視為一種樣品和保持電路,其中值被采樣并通過電路傳遞,以實現所需的功能。

開關電容器電路在濾波器設計等應用中非常受歡迎,這要歸功于其極其精確的頻率響應以及良好的線性和動態范圍。

正如我們稍后看到的,開關電容濾波器的離散時間頻率響應完全由電容比和電路時鐘頻率設置,使響應精確設置在0.1%的順序上。另一方面,連續時間過濾器根據RC時間常數設置頻率響應,由于過程變化,值可能變化高達20%。

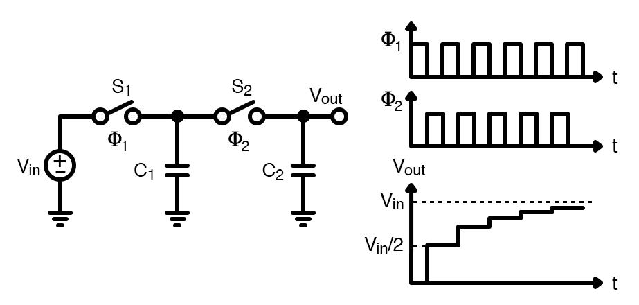
開關電容器電阻器

開關電容器電路設計最基本的構建基塊是開關電容器電阻器。如前所述,該電路具有兩個相同頻率的非重疊時鐘,é1和é2。為了分析此電路,我們將查看兩個階段。

開關電容器電阻器

在第一階段,開關1打開,而開關2關閉。在此設置中,電荷從節點V1流入電容器。在第二階段,開關1打開,而開關2關閉。此時,C1連接到節點V2,并將充電或放電,直到電容器上的最終電壓為V2。每個階段的此費用的總值如下所表示:

20210526163559.jpg

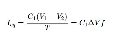
如果我們考慮負載的總變化,我們得到以下方程:

微信截圖_20210526164613.jpg

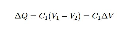
知道電流被定義為時間的電荷變化,并且我們的時間變化只不過是我們的時鐘周期,我們可以通過此切換的電容器獲得電流的平均值:

20210526165035.jpg

最后,我們可以使用上述方程來查找電路的等效電阻:

20210526165228.jpg

區域節省和控制頻率響應

從這些結果中,我們可以看到開關封蓋電路的魔力:它們允許設計人員創建非常嚴格控制的電阻,僅取決于時鐘頻率和電容器值。

具有非重疊時鐘的開關電容器集成器

這項技術的一個好處是,它有助于節省空間。實現大阻力通常需要大量的硅面積。使用開關蓋電路,這兩個因素都可以顯著變小。另一個好處是電阻器和電容器在連續時間RC過濾器中的不匹配正在限制。與不同的設備相比,類似設備之間的匹配往往要好得多,使開關電容器的頻率響應更加精確。

最后,由于我們的電阻值完全由電容值和頻率設置,我們可以通過更改時鐘頻率動態更改過濾器的頻率響應。開關電容器電路的應用是廣泛的,而且有充分的理由。從過濾器到ADC的許多電路都利用這些技術來節省面積和嚴格控制頻率響應。

欢迎光临: 万载县| 巴林左旗| 宝坻区| 菏泽市| 富锦市| 安阳县| 通州区| 宜黄县| 璧山县| 衡水市| 云阳县| 大化| 汤阴县| 桂平市| 西吉县| 祁门县| 新兴县| 三原县| 繁峙县| 黎城县| 蓝田县| 育儿| 克山县| 宁德市| 南乐县| 德安县| 陆河县| 黔江区| 昭觉县| 龙海市| 商城县| 抚州市| 涟水县| 嫩江县| 嘉兴市| 吉首市| 五莲县| 南城县| 岱山县| 广西| 金堂县|